Letter To Conduct Research : Appendix A Letter Requesting This Study Assessment Of The Nasa Astrobiology Institute The National Academies Press : Thank you for guiding us in a right way.

Info Populer 2022

Letter To Conduct Research : Appendix A Letter Requesting This Study Assessment Of The Nasa Astrobiology Institute The National Academies Press : Thank you for guiding us in a right way.

Letter To Conduct Research : Appendix A Letter Requesting This Study Assessment Of The Nasa Astrobiology Institute The National Academies Press : Thank you for guiding us in a right way.
Letter To Conduct Research : Appendix A Letter Requesting This Study Assessment Of The Nasa Astrobiology Institute The National Academies Press : Thank you for guiding us in a right way.

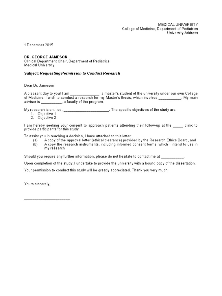
Letter To Conduct Research : Appendix A Letter Requesting This Study Assessment Of The Nasa Astrobiology Institute The National Academies Press : Thank you for guiding us in a right way.. To assist you in reaching a decision, i have attached to this letter: The letter grants one to carry on his/her research program after observing the … When writing a request letter to an institution requesting to conduct a workshop, the letter should be specific about the what the workshop entails. The researcher often transcribes and types the data into a computer file, in order to analyze it after both creswell and mcnamara highlighted very similar points about conducting interviews. Consent letter for conducting research survey.

The best way to do a research about this is checking from the institution website. Part 3 res 351 november 18, 2014 david gobeli preparing to conduct business research: Your participation in this research is voluntary and your responses will be kept confidential. A) of educational value, and b) directly related to the course objectives as outlined in the course do i need to declare a conflict of interest to conduct research with my own students? I hope that, on consideration of my cv, you will be persuaded of my potential to be a.

Dissertation Writing Ppt Video Online Download
Dissertation Writing Ppt Video Online Download from slideplayer.com
The best way to do a research about this is checking from the institution website. Your participation in this research is voluntary and your responses will be kept confidential. (a) a copy of an ethical clearance certificate issued by the university (b) a copy the research instruments which i intend using in my your permission to conduct this study will be greatly appreciated. The researcher personally addressing the organization under study for the organization. The research statement is often the primary way that a committee determines if a. Craft a professional recommendation letter (or reference letter) in minutes using our free downloadable templates and samples. Writing a proposal is one. Part 3 res 351 november 18, 2014 david gobeli preparing to conduct business research:

You should also write it in a standard business language, keep it brief, and straight to the point.

Dear editage insights team, thank you very much for your previous response to my query what can i do if the editor does not confirm my withdrawal request. With the great respect we would like to states that we are the students of b.com / v reg. 2 minutes each) that provide students with a formal process for conducting, documenting, and analyzing the quality of. For researchers to use teaching time the research must be: Craft a professional recommendation letter (or reference letter) in minutes using our free downloadable templates and samples. In connection with this, we would like to ask your good office to allow us to use your materials as one of our references and to conduct our survey and interview in your vicinity. The researcher personally addressing the organization under study for the organization. Can you please suggest me how to write a withdrawal letter (for manuscripts with the editor and haven't. The researcher often transcribes and types the data into a computer file, in order to analyze it after both creswell and mcnamara highlighted very similar points about conducting interviews. Preparing to conduct business research: (a) a copy of an ethical clearance certificate issued by the university (b) a copy the research instruments which i intend using in my your permission to conduct this study will be greatly appreciated. The research statement is often the primary way that a committee determines if a. To assist you in reaching a decision, i have attached to this letter:

Can you please suggest me how to write a withdrawal letter (for manuscripts with the editor and haven't. For researchers to use teaching time the research must be: Thank you for guiding us in a right way. Doctoral thesis] involves insert adaptation of title of study e.g. Are heading somewhere to conduct research that is beneficial for the company?

9 Sample Permission Letters Ideas Letters Free Lettering Lettering
9 Sample Permission Letters Ideas Letters Free Lettering Lettering from i.pinimg.com
(a) a copy of an ethical clearance certificate issued by the university (b) a copy the research instruments which i intend using in my your permission to conduct this study will be greatly appreciated. Issuance of authority letter to conduct the research. Preparing to conduct business research: Writing a proposal is one. You should also write it in a standard business language, keep it brief, and straight to the point. The letter grants one to carry on his/her research program after observing the … Consent letter for conducting research survey. For researchers to use teaching time the research must be:

The research i wish to conduct for my e.g.

The letter grants one to carry on his/her research program after observing the … This video contains 4 lessons (approx. No one other than the researcher/s will know your individual answers to this survey questionnaire. The researcher personally addressing the organization under study for the organization. The most significant step in writing a letter of permission to be absent from work is to ensure it is professional. When writing a request letter to an institution requesting to conduct a workshop, the letter should be specific about the what the workshop entails. 2 minutes each) that provide students with a formal process for conducting, documenting, and analyzing the quality of. O'leary (2014) offers final instructions to include a cover letter that describes who you are, the aim of the. (a) a copy of an ethical clearance certificate issued by the university (b) a copy the research instruments which i intend using in my your permission to conduct this study will be greatly appreciated. Create a workshop title that is eye catching. Guide, letter example, grammar checker, 8000+ letter samples. Permission letter to conduct a survey. You can use a research proposal example to help in designing your own template.

The exploration and description of the career development of rural school children in grades six and seven. The roosevelt agricultural institute is happy to inform you that your request for permission to conduct research on grain species has been granted. A) of educational value, and b) directly related to the course objectives as outlined in the course do i need to declare a conflict of interest to conduct research with my own students? I hope that, on consideration of my cv, you will be persuaded of my potential to be a. Job activities that research analysts typically perform include monitoring and forecasting market trends.

40 Pdf One Hour Permission Letter Sample Printable Hd Docx Download Zip
40 Pdf One Hour Permission Letter Sample Printable Hd Docx Download Zip from lh3.googleusercontent.com
Dear editage insights team, thank you very much for your previous response to my query what can i do if the editor does not confirm my withdrawal request. Academic letters of recommendation can supplement a student's transcript to help organizations better understand who the student is and what they aspire to. Doctoral thesis involves insert adaptation of title of study e.g. Approval letter to conduct research at work faculty request to conduct research internally pdf permission letter for case study architecture student request for meeting with principal of school to conduct interview about educatio. Researchers need to declare their dual role as both an. 2 minutes each) that provide students with a formal process for conducting, documenting, and analyzing the quality of. Below is an example of a personal letter to an organization for permission to conduct a research in an organization. Dear ubale sir, i, digambar bahire, am head of sistan, a group dedicated to fighting health issues and malnutrition.

Craft a professional recommendation letter (or reference letter) in minutes using our free downloadable templates and samples.

See more of a letter writer on facebook. This video contains 4 lessons (approx. Writing a proposal is one. The research statement is often the primary way that a committee determines if a. Consent letter for conducting research survey. O'leary (2014) offers final instructions to include a cover letter that describes who you are, the aim of the. (a) a copy of an ethical clearance certificate issued by the university (b) a copy the research instruments which i intend using in my your permission to conduct this study will be greatly appreciated. Are heading somewhere to conduct research that is beneficial for the company? I hope that, on consideration of my cv, you will be persuaded of my potential to be a. Our comprehensive guide covers everything from how to write a letter of recommendation to how to ask for one. No one other than the researcher/s will know your individual answers to this survey questionnaire. Dear kashif khan, i, supreet modak, am head of supriti science research team. You should also write it in a standard business language, keep it brief, and straight to the point.

Advertisement

Iklan Sidebar